Introduction to WebAssembly

Recently Microsoft, Google, Mozilla and a few other people have been working on WEBASSEMBLY a new, portable, size- and load-time efficient format suitable for compilation to the web.

WebAssembly thing

But why do we need this WebAssembly thing?

As we know it is hard to express many development needs using JavaScript .In addition of that Webassembly gives you an easy access to a set of low level blocks. This low level sight make you manipulate your operations easily.

I understand but what is exactly WebAssembly?

WebAssembly is an Abstract Syntax Tree stored in a Binary format.

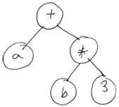
Abstract Syntax Tree

Wikipedia Definition:

In computer science, an abstract syntax tree (AST), or just syntax tree, is a tree representation of the abstract syntactic structure of source code written in a programming language. Each node of the tree denotes a construct occurring in the source code.

abstract

What will WebAssembly do?

WebAssembly will express easily SIMID (Single Instruction, Multiple Data). This use of parallel processing will effect in an obvious way streaming and buffering. This is a huge improvement of JavaScript.

processing